اهلا وسهلا بك فى بوابة الثانوية العامة ... سجل الان

  #31  
قديم 12-12-2008, 01:13 AM
mena288 mena288 غير متواجد حالياً
عضو متواصل
 
تاريخ التسجيل: Mar 2008
المشاركات: 947
معدل تقييم المستوى: 18
mena288 is on a distinguished road
افتراضي

اقتباس:
المشاركة الأصلية كتبت بواسطة mena288 مشاهدة المشاركة
المسألة الخامسة

احسب التكامل

بالتوفيق





الحل

(1+ جاس ) ^(1/2) / جتا(س/2) + جا(س/2)

= ( جتا^2(س/2) + (جا^2(س/2) + 2جا (س/2)جتا(س/2) )^(1/2) / جتا(س/2) + جا(س/2)

= [ ( جتا(س/2) + جا(س/2) )^2 ] ^ (1/2) / جتا(س/2) + جا(س/2)

= (جتا(س/2) + جا(س/2)) / ( جتا(س/2) + جا(س/2)) = 1

التكامل = س + ث
__________________
ابداً بأذن الله محاضرات الفيزياء للعام الدراسى الجديد ....للفيزياء الحديثه لجامعه كامبريج الالكترونيه ... فى الغرفه المخصصه لها على البال توك
[CENTER] يوم الجمعه الساعه 12 من منتصف الليل 10/9
تابعونا ....
رد مع اقتباس
  #32  
قديم 15-12-2008, 09:45 PM
الصورة الرمزية ♥έĻ-мΰšŧâρèdâ♥
♥έĻ-мΰšŧâρèdâ♥ ♥έĻ-мΰšŧâρèdâ♥ غير متواجد حالياً
طالبة جامعية ( اعدادى هندسة اسيوط )
 
تاريخ التسجيل: Apr 2008
العمر: 33
المشاركات: 1,836
معدل تقييم المستوى: 19
♥έĻ-мΰšŧâρèdâ♥ is on a distinguished road
افتراضي

بتعقد مســـــــــآئلكم جــداً

بشوف حلها واجى احلها لوحدى بحتــــــــــــــــــــــــآس
__________________
آبويآ وصآني (ع) ـلي إلـ (ع) ـز وإلـ (خ) ـــير...

مهرة أصيلـــة وإلطُهر له نصيبـــــــــــه ...
رد مع اقتباس
  #33  
قديم 16-12-2008, 09:14 PM
الصورة الرمزية bedo17
bedo17 bedo17 غير متواجد حالياً
عضو نشيط
 
تاريخ التسجيل: Jun 2008
العمر: 33
المشاركات: 168
معدل تقييم المستوى: 18
bedo17 is on a distinguished road
افتراضي

اكون شاكر فضلك لو حليتي المسألة بتاعة المفكوك بحل اخر
(1 +س)ن (س+1)ن =(ا+س)2ن

ولكم جزيل الشكر
رد مع اقتباس
  #34  
قديم 19-01-2009, 10:55 PM
mena288 mena288 غير متواجد حالياً
عضو متواصل
 
تاريخ التسجيل: Mar 2008
المشاركات: 947
معدل تقييم المستوى: 18
mena288 is on a distinguished road
افتراضي

اقتباس:
المشاركة الأصلية كتبت بواسطة bedo17 مشاهدة المشاركة
اكون شاكر فضلك لو حليتي المسألة بتاعة المفكوك بحل اخر
(1 +س)ن (س+1)ن =(ا+س)2ن

ولكم جزيل الشكر

حاضر سأعرض الكثير من الحلول ولكن فى الايام القادمة




فاصل ونكمل انتظرونى ................
__________________
ابداً بأذن الله محاضرات الفيزياء للعام الدراسى الجديد ....للفيزياء الحديثه لجامعه كامبريج الالكترونيه ... فى الغرفه المخصصه لها على البال توك
[CENTER] يوم الجمعه الساعه 12 من منتصف الليل 10/9
تابعونا ....
رد مع اقتباس
  #35  
قديم 27-01-2009, 03:54 PM
mena288 mena288 غير متواجد حالياً
عضو متواصل
 
تاريخ التسجيل: Mar 2008
المشاركات: 947
معدل تقييم المستوى: 18
mena288 is on a distinguished road
افتراضي

السؤال السادس

__________________
ابداً بأذن الله محاضرات الفيزياء للعام الدراسى الجديد ....للفيزياء الحديثه لجامعه كامبريج الالكترونيه ... فى الغرفه المخصصه لها على البال توك
[CENTER] يوم الجمعه الساعه 12 من منتصف الليل 10/9
تابعونا ....
رد مع اقتباس
  #36  
قديم 27-01-2009, 08:12 PM
الصورة الرمزية القائد السفاح أبو العباس الاسود
القائد السفاح أبو العباس الاسود القائد السفاح أبو العباس الاسود غير متواجد حالياً
طالب ثانوى ( الصف الثالث )
 
تاريخ التسجيل: Aug 2008
المشاركات: 478
معدل تقييم المستوى: 18
القائد السفاح أبو العباس الاسود is on a distinguished road
افتراضي

المقدار = تكامل { ( س + 1 ) - 3 س }


= تكامل { ( -2 س + 1 ) < 5 } =




= 1/ 6 ÷ -2 ( -2س + 1 ) < 6

= -1 / 12 ( -2س + 1 ) < 6
__________________
اللهم أحيينى مسلما
و توفنـــــــــــــــى مع الصالحين
رد مع اقتباس
  #37  
قديم 27-01-2009, 08:18 PM
الصورة الرمزية القائد السفاح أبو العباس الاسود
القائد السفاح أبو العباس الاسود القائد السفاح أبو العباس الاسود غير متواجد حالياً
طالب ثانوى ( الصف الثالث )
 
تاريخ التسجيل: Aug 2008
المشاركات: 478
معدل تقييم المستوى: 18
القائد السفاح أبو العباس الاسود is on a distinguished road
افتراضي مسالة ( 2 ) .

السلام عليكم ,,,,


هذا سؤال منى خاص اليكم


و رجاء للاخ مينا ميكتبش الحل و نخلى الناس تفكر شوية .


المسالة :-



أذا كان



تكـــــــامل { ( دص _ دع ) . ( 1 / دس ) } = تكامل 4



و قدر قدرت قيمة الثابت للتكامل السابق بـــــــــ +1


فأذا علمت أن ص = س<2 + 3س + 2


فــــــــأحسب قيمة


( المشتقة الثانية لـــــ ص بالنسبة لـــ ع )
__________________
اللهم أحيينى مسلما
و توفنـــــــــــــــى مع الصالحين
رد مع اقتباس
  #38  
قديم 27-01-2009, 08:40 PM
الصورة الرمزية Sherif Elkhodary
Sherif Elkhodary Sherif Elkhodary غير متواجد حالياً
عضو متألق
 
تاريخ التسجيل: Jan 2008
المشاركات: 3,952
معدل تقييم المستوى: 22
Sherif Elkhodary is on a distinguished road
افتراضي

انا كان نفسي اشارك معاكوا
لكن لسه موصلتش للتكامل
في امان الله
رد مع اقتباس
  #39  
قديم 28-01-2009, 12:52 AM
mena288 mena288 غير متواجد حالياً
عضو متواصل
 
تاريخ التسجيل: Mar 2008
المشاركات: 947
معدل تقييم المستوى: 18
mena288 is on a distinguished road
افتراضي

اقتباس:
المشاركة الأصلية كتبت بواسطة القائد السفاح أبو العباس الاسود مشاهدة المشاركة
المقدار = تكامل { ( س + 1 ) - 3 س }


= تكامل { ( -2 س + 1 ) < 5 } =




= 1/ 6 ÷ -2 ( -2س + 1 ) < 6

= -1 / 12 ( -2س + 1 ) < 6

مرحبا محمد ( اجابة سليمة)

اتمنى ان تكون فى تمام الصحة والعافية
__________________
ابداً بأذن الله محاضرات الفيزياء للعام الدراسى الجديد ....للفيزياء الحديثه لجامعه كامبريج الالكترونيه ... فى الغرفه المخصصه لها على البال توك
[CENTER] يوم الجمعه الساعه 12 من منتصف الليل 10/9
تابعونا ....
رد مع اقتباس
  #40  
قديم 28-01-2009, 12:55 AM
mena288 mena288 غير متواجد حالياً
عضو متواصل
 
تاريخ التسجيل: Mar 2008
المشاركات: 947
معدل تقييم المستوى: 18
mena288 is on a distinguished road
افتراضي

اقتباس:
المشاركة الأصلية كتبت بواسطة شريف الخضري مشاهدة المشاركة
انا كان نفسي اشارك معاكوا
لكن لسه موصلتش للتكامل
في امان الله
اهلا شريف
الموضع فى جميع اجزاء المنهج وسوف تكون الاسئلة متنوعة



اتمنى مشاركتك
__________________
ابداً بأذن الله محاضرات الفيزياء للعام الدراسى الجديد ....للفيزياء الحديثه لجامعه كامبريج الالكترونيه ... فى الغرفه المخصصه لها على البال توك
[CENTER] يوم الجمعه الساعه 12 من منتصف الليل 10/9
تابعونا ....
رد مع اقتباس
  #41  
قديم 28-01-2009, 12:41 PM
الصورة الرمزية El Safah
El Safah El Safah غير متواجد حالياً
عضو نشيط
 
تاريخ التسجيل: May 2008
المشاركات: 152
معدل تقييم المستوى: 18
El Safah is on a distinguished road
افتراضي

حرااااااااااااااااااااااااااااااااااااام
رد مع اقتباس
  #42  
قديم 31-01-2009, 01:32 AM
mena288 mena288 غير متواجد حالياً
عضو متواصل
 
تاريخ التسجيل: Mar 2008
المشاركات: 947
معدل تقييم المستوى: 18
mena288 is on a distinguished road
افتراضي

اقتباس:
المشاركة الأصلية كتبت بواسطة القائد السفاح أبو العباس الاسود مشاهدة المشاركة
السلام عليكم ,,,,


هذا سؤال منى خاص اليكم


و رجاء للاخ مينا ميكتبش الحل و نخلى الناس تفكر شوية .


المسالة :-



أذا كان



تكـــــــامل { ( دص _ دع ) . ( 1 / دس ) } = تكامل 4



و قدر قدرت قيمة الثابت للتكامل السابق بـــــــــ +1


فأذا علمت أن ص = س<2 + 3س + 2


فــــــــأحسب قيمة


( المشتقة الثانية لـــــ ص بالنسبة لـــ ع )




بما انك قمت بعمل موضوع خاص للسؤال

نكمل السؤال السابع

اثبت صحة العلاقة

__________________
ابداً بأذن الله محاضرات الفيزياء للعام الدراسى الجديد ....للفيزياء الحديثه لجامعه كامبريج الالكترونيه ... فى الغرفه المخصصه لها على البال توك
[CENTER] يوم الجمعه الساعه 12 من منتصف الليل 10/9
تابعونا ....
رد مع اقتباس
  #43  
قديم 31-01-2009, 08:35 PM
الصورة الرمزية القائد السفاح أبو العباس الاسود
القائد السفاح أبو العباس الاسود القائد السفاح أبو العباس الاسود غير متواجد حالياً
طالب ثانوى ( الصف الثالث )
 
تاريخ التسجيل: Aug 2008
المشاركات: 478
معدل تقييم المستوى: 18
القائد السفاح أبو العباس الاسود is on a distinguished road
افتراضي

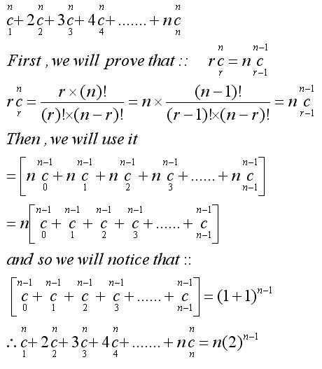
الحل :-


فى مفكوك ( 1 + س ) <ن

{ ( ن ق 1 ) × ( س ) } + { ( ن ق 2 ) × س<2 } + { ( ن ق 3 ) × س <3 }+ ............. + } ( ن ق ن ) × س< ن } =


{ ( ن ق ن ) × س < ن }


و با شتقاق الطـــــــــــرفين بالنسبة الى" س "

و بعد ذلك نضع س = 1 فى الطرفين


أذن المقدار =


( ن ق 1 ) + 2 ( ن ق 2 ) + 3 ( ن ق 3 ) + ........................ + ن ( ن ق ن ) = ن ( 1 + 1 ) < ن


=

ن × ( 2 ) < ( ن -1 )
__________________
اللهم أحيينى مسلما
و توفنـــــــــــــــى مع الصالحين
رد مع اقتباس
  #44  
قديم 31-01-2009, 09:40 PM
الصورة الرمزية abdelRhman772007
abdelRhman772007 abdelRhman772007 غير متواجد حالياً
طالب جامعى (كلية هندسة )
 
تاريخ التسجيل: Nov 2007
المشاركات: 1,504
معدل تقييم المستوى: 20
abdelRhman772007 is on a distinguished road
افتراضي

ده حل آخر بس كتبته بالانجليزى آسف على كده

و اعذرونى لو كنت قصرت من ناحيتى فى الحل

____________________________________
لن ننساكى يا غزة !
الصور المصغرة للصور المرفقة
اضغط على الصورة لعرض أكبر

الاســـم:	answer Math.jpg‏
المشاهدات:	92
الحجـــم:	36.1 كيلوبايت
الرقم:	15744  
__________________
من السهل أن يكون لك مكان في دفتر عناوين أصدقائك
ولكن من الصعب أن تجد لك مكاناً في قلوبهم

رد مع اقتباس
  #45  
قديم 31-01-2009, 10:20 PM
mena288 mena288 غير متواجد حالياً
عضو متواصل
 
تاريخ التسجيل: Mar 2008
المشاركات: 947
معدل تقييم المستوى: 18
mena288 is on a distinguished road
افتراضي

اقتباس:
المشاركة الأصلية كتبت بواسطة القائد السفاح أبو العباس الاسود مشاهدة المشاركة
الحل :-


فى مفكوك ( 1 + س ) <ن

{ ( ن ق 1 ) × ( س ) } + { ( ن ق 2 ) × س<2 } + { ( ن ق 3 ) × س <3 }+ ............. + } ( ن ق ن ) × س< ن } =


{ ( ن ق ن ) × س < ن }


و با شتقاق الطـــــــــــرفين بالنسبة الى" س "

و بعد ذلك نضع س = 1 فى الطرفين


أذن المقدار =


( ن ق 1 ) + 2 ( ن ق 2 ) + 3 ( ن ق 3 ) + ........................ + ن ( ن ق ن ) = ن ( 1 + 1 ) < ن


=

ن × ( 2 ) < ( ن -1 )


حل رائع

احسنت
__________________
ابداً بأذن الله محاضرات الفيزياء للعام الدراسى الجديد ....للفيزياء الحديثه لجامعه كامبريج الالكترونيه ... فى الغرفه المخصصه لها على البال توك
[CENTER] يوم الجمعه الساعه 12 من منتصف الليل 10/9
تابعونا ....
رد مع اقتباس
إضافة رد

العلامات المرجعية

أدوات الموضوع
انواع عرض الموضوع

ضوابط المشاركة
لا تستطيع إضافة مواضيع جديدة
لا تستطيع الرد على المواضيع
لا يمكنك اضافة مرفقات
لا يمكنك تعديل مشاركاتك

BB code متاحة
كود [IMG] متاحة
كود HTML معطلة

الانتقال السريع


جميع الأوقات بتوقيت GMT +2. الساعة الآن 05:05 PM.