اهلا وسهلا بك فى بوابة الثانوية العامة ... سجل الان

العودة   بوابة الثانوية العامة المصرية > الصف الثالث الثانوي 2024 / 2025 > شعبـة العلـوم و الرياضيـات > الرياضيات 3 ث > منهج الرياضيات البحتة 3 ث > المراجعات والامتحانات والاسئلة الرياضيات البحتة 3 ث

الإستطلاع: رايكم فى المسئلة
خيارات إستطلاع
رايكم فى المسئلة

 
 
أدوات الموضوع انواع عرض الموضوع
Prev المشاركة السابقة   المشاركة التالية Next
  #10  
قديم 17-09-2014, 02:11 PM
mbsh2012 mbsh2012 غير متواجد حالياً
عضو جديد
 
تاريخ التسجيل: May 2012
العمر: 31
المشاركات: 10
معدل تقييم المستوى: 0
mbsh2012 is on a distinguished road
افتراضي

شكرا جدا يا مستر ، جزاك الله كل خير

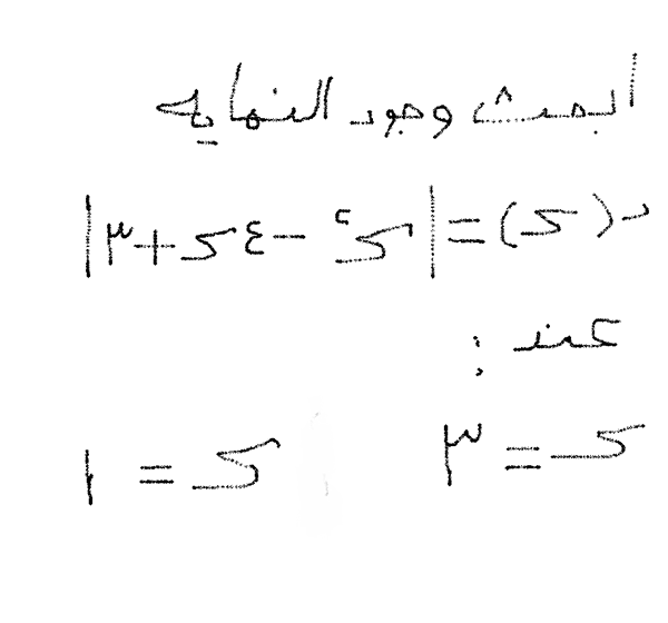
فيه سؤال تاني لو مكنتش هتقل علي حضرتك ، اذا كان هناك مقياس علي داله كثيره الحدود من الدرجه الثانيه ايه العمل ؟؟

السؤال مرفق
الصور المرفقة
نوع الملف: png Untitlessd - Copy (2).png‏ (49.3 كيلوبايت, المشاهدات 128)
رد مع اقتباس
 

العلامات المرجعية

الكلمات الدلالية (Tags)
مسألأة متحهات, اريد حل هذه المسائل, ارجو الرد باقصى سرعة, برنامج . حماية. ويندوز, برنامج حماية ويندوز, حمايه, جبر 3, حد يفيد يكون, سؤال لللأذكياء:-, كتابة الكسور


ضوابط المشاركة
لا تستطيع إضافة مواضيع جديدة
لا تستطيع الرد على المواضيع
لا يمكنك اضافة مرفقات
لا يمكنك تعديل مشاركاتك

BB code متاحة
كود [IMG] متاحة
كود HTML معطلة

الانتقال السريع


جميع الأوقات بتوقيت GMT +2. الساعة الآن 10:21 PM.