اهلا وسهلا بك فى بوابة الثانوية العامة ... سجل الان

العودة   بوابة الثانوية العامة المصرية > الصف الثالث الثانوي 2024 / 2025 > شعبـة العلـوم و الرياضيـات > الرياضيات 3 ث > منهج الرياضيات البحتة 3 ث > المراجعات والامتحانات والاسئلة الرياضيات البحتة 3 ث

الإستطلاع: رايكم فى المسئلة
خيارات إستطلاع
رايكم فى المسئلة

إضافة رد
 
أدوات الموضوع انواع عرض الموضوع
  #4831  
قديم 17-09-2014, 02:11 PM
mbsh2012 mbsh2012 غير متواجد حالياً
عضو جديد
 
تاريخ التسجيل: May 2012
العمر: 31
المشاركات: 10
معدل تقييم المستوى: 0
mbsh2012 is on a distinguished road
افتراضي

شكرا جدا يا مستر ، جزاك الله كل خير

فيه سؤال تاني لو مكنتش هتقل علي حضرتك ، اذا كان هناك مقياس علي داله كثيره الحدود من الدرجه الثانيه ايه العمل ؟؟

السؤال مرفق
الصور المرفقة
نوع الملف: png Untitlessd - Copy (2).png‏ (49.3 كيلوبايت, المشاهدات 127)
رد مع اقتباس
  #4832  
قديم 18-09-2014, 11:13 AM
احمدناصرالطباخ احمدناصرالطباخ غير متواجد حالياً
عضو جديد
 
تاريخ التسجيل: Nov 2012
العمر: 27
المشاركات: 20
معدل تقييم المستوى: 0
احمدناصرالطباخ is on a distinguished road
افتراضي

الحد الخالي من س =70
رد مع اقتباس
  #4833  
قديم 18-09-2014, 01:45 PM
mbsh2012 mbsh2012 غير متواجد حالياً
عضو جديد
 
تاريخ التسجيل: May 2012
العمر: 31
المشاركات: 10
معدل تقييم المستوى: 0
mbsh2012 is on a distinguished road
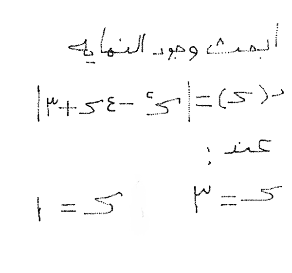
افتراضي حل سؤال في النهايات 2

السلام عليكم ورحمة الله

لو سمحتوا اريد حل المسأله هذه

وخصوصا شرح اذا كان هناك مقياس علي داله كثيره الحدود من الدرجه الثانيه ايه العمل ؟؟

المساله مرفقه
الصور المرفقة
نوع الملف: png Untitlessd - Copyس (2) - Copy.png‏ (49.3 كيلوبايت, المشاهدات 150)
رد مع اقتباس
  #4834  
قديم 19-09-2014, 11:32 PM
ahmedmohie80 ahmedmohie80 غير متواجد حالياً
عضو جديد
 
تاريخ التسجيل: Oct 2010
المشاركات: 9
معدل تقييم المستوى: 0
ahmedmohie80 is on a distinguished road
افتراضي مسألة مضاريب صعبة جدآآآ............ارجو الحل سريعآ

مضروب 2ن-1 / مضروب ن الكل تربيع =142

اوجد قيمة ن في المرفقات صورة موضحة للمسألة
رد مع اقتباس
  #4835  
قديم 21-09-2014, 07:11 PM
الصورة الرمزية mohamedkhedr1997
mohamedkhedr1997 mohamedkhedr1997 غير متواجد حالياً
عضو مجتهد
 
تاريخ التسجيل: Jul 2014
العمر: 28
المشاركات: 58
معدل تقييم المستوى: 12
mohamedkhedr1997 is on a distinguished road
افتراضي

فين الصوره ......لو المسأله كده يبقى غلط
__________________
إن الحياة ليست سهلة
ويجب أن نعمل بكل همه وأن نثق فى قدراتن
وفى أنفسنا ثقة كاملة ويجب أن نؤمن بأن كل واحد منا قادر على إجادة العمل إلى أقصى حد وعندما نكتشف سر هذا الشىء الذى نبحث عنه نكون قد نجحنا
فى أداء عمل نافع.
رد مع اقتباس
  #4836  
قديم 23-09-2014, 10:45 AM
davinshi davinshi غير متواجد حالياً
عضو جديد
 
تاريخ التسجيل: Apr 2012
المشاركات: 16
معدل تقييم المستوى: 0
davinshi is on a distinguished road
افتراضي إستفسار عن مسأله فى كتاب الوزاره أرجو الرد من المتخصصين فقط

فى مسأله تزايد وتناقص فى أخر التمرين بتاع فترات التزايد والتناقص الإستفسار عن وضع = بعد الإشتقاق وذلك لإن الداله عند إشتقاقها والتعيض بالشرط ينتج المشتقه اليمنى مثل اليسر فهل نضع هنا = أم < و> فقط كباقى المسائل
المسأله رقم 8 صفحة 69 عين فترات التزايد والتناقص د(س) = س^2 +2 س< = 1
2س +1 س>1
ونشكر مجهود من يعطينا الرأى الفاصل
رد مع اقتباس
  #4837  
قديم 26-09-2014, 04:12 AM
davinshi davinshi غير متواجد حالياً
عضو جديد
 
تاريخ التسجيل: Apr 2012
المشاركات: 16
معدل تقييم المستوى: 0
davinshi is on a distinguished road
افتراضي

هو الموضوع صعب هو اللي أنا بعقده ان فترات التزايد والتناقص مفاتيح. وانزل يساوي بعد اما اشتق عادى
رد مع اقتباس
  #4838  
قديم 26-09-2014, 09:16 AM
مصطفى تعيلب مصطفى تعيلب غير متواجد حالياً
عضو مجتهد
 
تاريخ التسجيل: Apr 2012
المشاركات: 64
معدل تقييم المستوى: 14
مصطفى تعيلب is on a distinguished road
افتراضي

مشكوررررررررررررررررر
رد مع اقتباس
  #4839  
قديم 26-09-2014, 10:42 PM
sabour sabour غير متواجد حالياً
عضو مشارك
 
تاريخ التسجيل: May 2008
المشاركات: 160
معدل تقييم المستوى: 18
sabour is on a distinguished road
افتراضي

رب اغفر وارحم
وانت خير الراحمين
رد مع اقتباس
  #4840  
قديم 27-09-2014, 04:38 PM
حعبؤلي حعبؤلي غير متواجد حالياً
عضو جديد
 
تاريخ التسجيل: May 2012
العمر: 35
المشاركات: 13
معدل تقييم المستوى: 0
حعبؤلي is on a distinguished road
افتراضي مسألة صعبة

اثبت ان

(ن قاف0)تربيع+(ن قاف 1)تربيع +(ن قاف 2 )تربيع +................................. +(ن قاف ن)2 =مضروب 2ن/(مضروب ن)تربيع
رد مع اقتباس
  #4841  
قديم 27-09-2014, 04:58 PM
حعبؤلي حعبؤلي غير متواجد حالياً
عضو جديد
 
تاريخ التسجيل: May 2012
العمر: 35
المشاركات: 13
معدل تقييم المستوى: 0
حعبؤلي is on a distinguished road
افتراضي

حد يرد ارجوكم
رد مع اقتباس
  #4842  
قديم 27-09-2014, 05:03 PM
حعبؤلي حعبؤلي غير متواجد حالياً
عضو جديد
 
تاريخ التسجيل: May 2012
العمر: 35
المشاركات: 13
معدل تقييم المستوى: 0
حعبؤلي is on a distinguished road
افتراضي

استاذ رياضيات موجود هنا
رد مع اقتباس
  #4843  
قديم 27-09-2014, 05:04 PM
حعبؤلي حعبؤلي غير متواجد حالياً
عضو جديد
 
تاريخ التسجيل: May 2012
العمر: 35
المشاركات: 13
معدل تقييم المستوى: 0
حعبؤلي is on a distinguished road
افتراضي

ارجوكم لو تفضلتم تردوا
رد مع اقتباس
  #4844  
قديم 28-09-2014, 12:49 AM
GRWANY555 GRWANY555 غير متواجد حالياً
عضو مجتهد
 
تاريخ التسجيل: Oct 2008
المشاركات: 60
معدل تقييم المستوى: 18
GRWANY555 is on a distinguished road
افتراضي

المعاصر فى الميكانيكا لانه نسخة جديده
و المحاضر كتاب جميل
رد مع اقتباس
  #4845  
قديم 30-09-2014, 10:48 PM
محمود.محمود محمود.محمود غير متواجد حالياً
عضو جديد
 
تاريخ التسجيل: Aug 2008
المشاركات: 41
معدل تقييم المستوى: 0
محمود.محمود is on a distinguished road
افتراضي

هو فترة التزايد او التناقص لايؤثرفيها المغلق او المفتوح
رد مع اقتباس
إضافة رد

العلامات المرجعية

الكلمات الدلالية (Tags)
مسألأة متحهات, اريد حل هذه المسائل, ارجو الرد باقصى سرعة, برنامج . حماية. ويندوز, برنامج حماية ويندوز, حمايه, جبر 3, حد يفيد يكون, سؤال لللأذكياء:-, كتابة الكسور


ضوابط المشاركة
لا تستطيع إضافة مواضيع جديدة
لا تستطيع الرد على المواضيع
لا يمكنك اضافة مرفقات
لا يمكنك تعديل مشاركاتك

BB code متاحة
كود [IMG] متاحة
كود HTML معطلة

الانتقال السريع


جميع الأوقات بتوقيت GMT +2. الساعة الآن 05:45 PM.