اهلا وسهلا بك فى بوابة الثانوية العامة ... سجل الان

العودة   بوابة الثانوية العامة المصرية > الصف الثالث الثانوي 2024 / 2025 > شعبـة العلـوم و الرياضيـات > الرياضيات 3 ث > منهج الرياضيات البحتة 3 ث > المراجعات والامتحانات والاسئلة الرياضيات البحتة 3 ث

الإستطلاع: رايكم فى المسئلة
خيارات إستطلاع
رايكم فى المسئلة

إضافة رد
 
أدوات الموضوع انواع عرض الموضوع
  #136  
قديم 29-04-2009, 09:47 PM
الصورة الرمزية bedo17
bedo17 bedo17 غير متواجد حالياً
عضو نشيط
 
تاريخ التسجيل: Jun 2008
العمر: 33
المشاركات: 168
معدل تقييم المستوى: 18
bedo17 is on a distinguished road
افتراضي

شكرا استاذ
رد مع اقتباس
  #137  
قديم 01-05-2009, 09:28 PM
smsmsmsmey smsmsmsmey غير متواجد حالياً
عضو جديد
 
تاريخ التسجيل: Jun 2008
المشاركات: 17
معدل تقييم المستوى: 0
smsmsmsmey is on a distinguished road
افتراضي

goooooooooooooooooooooooood
رد مع اقتباس
  #138  
قديم 08-05-2009, 10:17 AM
الصورة الرمزية عبدالبارى العوامى
عبدالبارى العوامى عبدالبارى العوامى غير متواجد حالياً
مدرس الرياضيات
 
تاريخ التسجيل: Sep 2008
المشاركات: 103
معدل تقييم المستوى: 18
عبدالبارى العوامى is on a distinguished road
افتراضي

مشكووووووووووووووووووووووووووووووووووووووووووووووو وووووووووور
رد مع اقتباس
  #139  
قديم 08-05-2009, 10:22 AM
الصورة الرمزية عبدالبارى العوامى
عبدالبارى العوامى عبدالبارى العوامى غير متواجد حالياً
مدرس الرياضيات
 
تاريخ التسجيل: Sep 2008
المشاركات: 103
معدل تقييم المستوى: 18
عبدالبارى العوامى is on a distinguished road
افتراضي

شكرااااااااا
رد مع اقتباس
  #140  
قديم 08-05-2009, 11:13 PM
secret secret غير متواجد حالياً
عضو جديد
 
تاريخ التسجيل: Apr 2008
المشاركات: 41
معدل تقييم المستوى: 0
secret is on a distinguished road
افتراضي

مشكورررررررررررررررررررررررررررررررررررررررررررررر رررررررررررررررررررررررررررررررررررررررررررررررررر رررررررررررررررررررررررررررررررررررررررررررررررررر ر
رد مع اقتباس
  #141  
قديم 10-05-2009, 12:37 AM
bedo33050 bedo33050 غير متواجد حالياً
عضو مجتهد
 
تاريخ التسجيل: May 2008
المشاركات: 80
معدل تقييم المستوى: 18
bedo33050 is on a distinguished road
افتراضي

اين هذ التمارين
برجاء اعادة رفعها مرة ثانية
و مشكور استاذ غازى على الجهد الطيب
رد مع اقتباس
  #142  
قديم 10-05-2009, 07:18 PM
carl21 carl21 غير متواجد حالياً
عضو جديد
 
تاريخ التسجيل: Apr 2009
المشاركات: 2
معدل تقييم المستوى: 0
carl21 is on a distinguished road
افتراضي

مشكوووووووووووووووووووور
رد مع اقتباس
  #143  
قديم 15-05-2009, 05:23 PM
الصورة الرمزية asmaia
asmaia asmaia غير متواجد حالياً
عضو مجتهد
 
تاريخ التسجيل: Apr 2008
العمر: 29
المشاركات: 91
معدل تقييم المستوى: 18
asmaia is on a distinguished road
افتراضي اسئله فى الرياضه2؟

السلام عليكم
انا دلوقتى فى سؤال فى الكتاب المدرسى صفحه 8
واجابته
بس نفسى افهم حل السؤال ده ازاى ؟

*اوجد : 1 1 1
_______ + ـــــــــــــــــــــــ + ـــــــــــــــــــــــ

| ن-2 | ن-1 | ن
|ــــــــــــــــ |ـــــــــــــــــــــــــــ |ــــــــــــــــــــــ

*السؤال التانى

اذا كانت ن ق 4 ، ن ق 5 ، ن ق 6 )

متتابعه حسابيه فأوجد قيمه ن؟


ياريت حد يفيدنى
ولكم جزيل الشكر وجزاكم الله خيرا


رد مع اقتباس
  #144  
قديم 15-05-2009, 05:40 PM
الصورة الرمزية عبده عثمان
عبده عثمان عبده عثمان غير متواجد حالياً
عضو ممتاز
 
تاريخ التسجيل: Apr 2008
المشاركات: 303
معدل تقييم المستوى: 18
عبده عثمان is on a distinguished road
افتراضي مسائل ديناميكا

http://www.4shared.com/get/103372520.../__online.html
رد مع اقتباس
  #145  
قديم 17-05-2009, 06:20 PM
هدهد سليمان هدهد سليمان غير متواجد حالياً
عضو جديد
 
تاريخ التسجيل: May 2009
المشاركات: 18
معدل تقييم المستوى: 0
هدهد سليمان is on a distinguished road
افتراضي

مش راضى يفتح بميديا بلاير ايه اللى ممكن يشغله وشكرا ليك
رد مع اقتباس
  #146  
قديم 29-05-2009, 09:45 AM
الصورة الرمزية ba7eb alahly awi
ba7eb alahly awi ba7eb alahly awi غير متواجد حالياً
عضو نشيط
 
تاريخ التسجيل: May 2009
المشاركات: 156
معدل تقييم المستوى: 17
ba7eb alahly awi is on a distinguished road
افتراضي

مش المسئله ديه في دليل التقويم
رد مع اقتباس
  #147  
قديم 29-05-2009, 09:49 AM
الصورة الرمزية ba7eb alahly awi
ba7eb alahly awi ba7eb alahly awi غير متواجد حالياً
عضو نشيط
 
تاريخ التسجيل: May 2009
المشاركات: 156
معدل تقييم المستوى: 17
ba7eb alahly awi is on a distinguished road
افتراضي

صحيح المسئله فئ صفحه 421 في لامي
رد مع اقتباس
  #148  
قديم 29-05-2009, 02:14 PM
الصورة الرمزية naughty girl
naughty girl naughty girl غير متواجد حالياً
عضو مجتهد
 
تاريخ التسجيل: May 2008
المشاركات: 50
معدل تقييم المستوى: 18
naughty girl is on a distinguished road
افتراضي

هى اصلا مسالة وحشة اوى اوى
انا بحاول افهمها مش عارفة
المستر بتاعى شرحهالى مرتين بس لا حياه لمن ينادى
رد مع اقتباس
  #149  
قديم 17-06-2009, 03:14 PM
moh_math moh_math غير متواجد حالياً
عضو جديد
 
تاريخ التسجيل: May 2009
المشاركات: 12
معدل تقييم المستوى: 0
moh_math is on a distinguished road
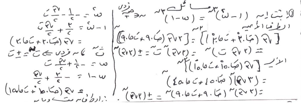
افتراضي مساله على الأعداد المركبه

لماذا إدراج الصور صعب
يجب زياده حجم التحميل
مساله على الأعداد المركبه
الصور المصغرة للصور المرفقة
اضغط على الصورة لعرض أكبر

الاســـم:	مساله على الأعداد المركبه 3.JPG‏
المشاهدات:	154
الحجـــم:	62.3 كيلوبايت
الرقم:	22103  
__________________
moh_math**egypt**zagazig**
"وقل رب أدخلنى مدخل صدق وأخرجنى مخرج صدق وإجعل لى من لدنك سلطانا نصيرا " صدق الله العظيم
رد مع اقتباس
  #150  
قديم 17-06-2009, 03:21 PM
moh_math moh_math غير متواجد حالياً
عضو جديد
 
تاريخ التسجيل: May 2009
المشاركات: 12
معدل تقييم المستوى: 0
moh_math is on a distinguished road
افتراضي مساله على الأعداد المركبه 1

مساله على الأعداد المركبه
الصور المصغرة للصور المرفقة
اضغط على الصورة لعرض أكبر

الاســـم:	مساله على الأعداد المركبه 1.JPG‏
المشاهدات:	134
الحجـــم:	63.2 كيلوبايت
الرقم:	22104  
__________________
moh_math**egypt**zagazig**
"وقل رب أدخلنى مدخل صدق وأخرجنى مخرج صدق وإجعل لى من لدنك سلطانا نصيرا " صدق الله العظيم
رد مع اقتباس
إضافة رد

العلامات المرجعية

الكلمات الدلالية (Tags)
مسألأة متحهات, اريد حل هذه المسائل, ارجو الرد باقصى سرعة, برنامج . حماية. ويندوز, برنامج حماية ويندوز, حمايه, جبر 3, حد يفيد يكون, سؤال لللأذكياء:-, كتابة الكسور


ضوابط المشاركة
لا تستطيع إضافة مواضيع جديدة
لا تستطيع الرد على المواضيع
لا يمكنك اضافة مرفقات
لا يمكنك تعديل مشاركاتك

BB code متاحة
كود [IMG] متاحة
كود HTML معطلة

الانتقال السريع


جميع الأوقات بتوقيت GMT +2. الساعة الآن 01:27 AM.