اهلا وسهلا بك فى بوابة الثانوية العامة ... سجل الان

العودة   بوابة الثانوية العامة المصرية > الصف الثالث الثانوي 2024 / 2025 > شعبـة العلـوم و الرياضيـات > الرياضيات 3 ث > منهج الرياضيات البحتة 3 ث > المراجعات والامتحانات والاسئلة الرياضيات البحتة 3 ث

إضافة رد
 
أدوات الموضوع انواع عرض الموضوع
  #1  
قديم 06-06-2009, 07:30 AM
الصورة الرمزية هشام عبد المطلب
هشام عبد المطلب هشام عبد المطلب غير متواجد حالياً
مدرس الرياضيات للمرحلة الثانوية
 
تاريخ التسجيل: Mar 2008
المشاركات: 282
معدل تقييم المستوى: 18
هشام عبد المطلب is on a distinguished road
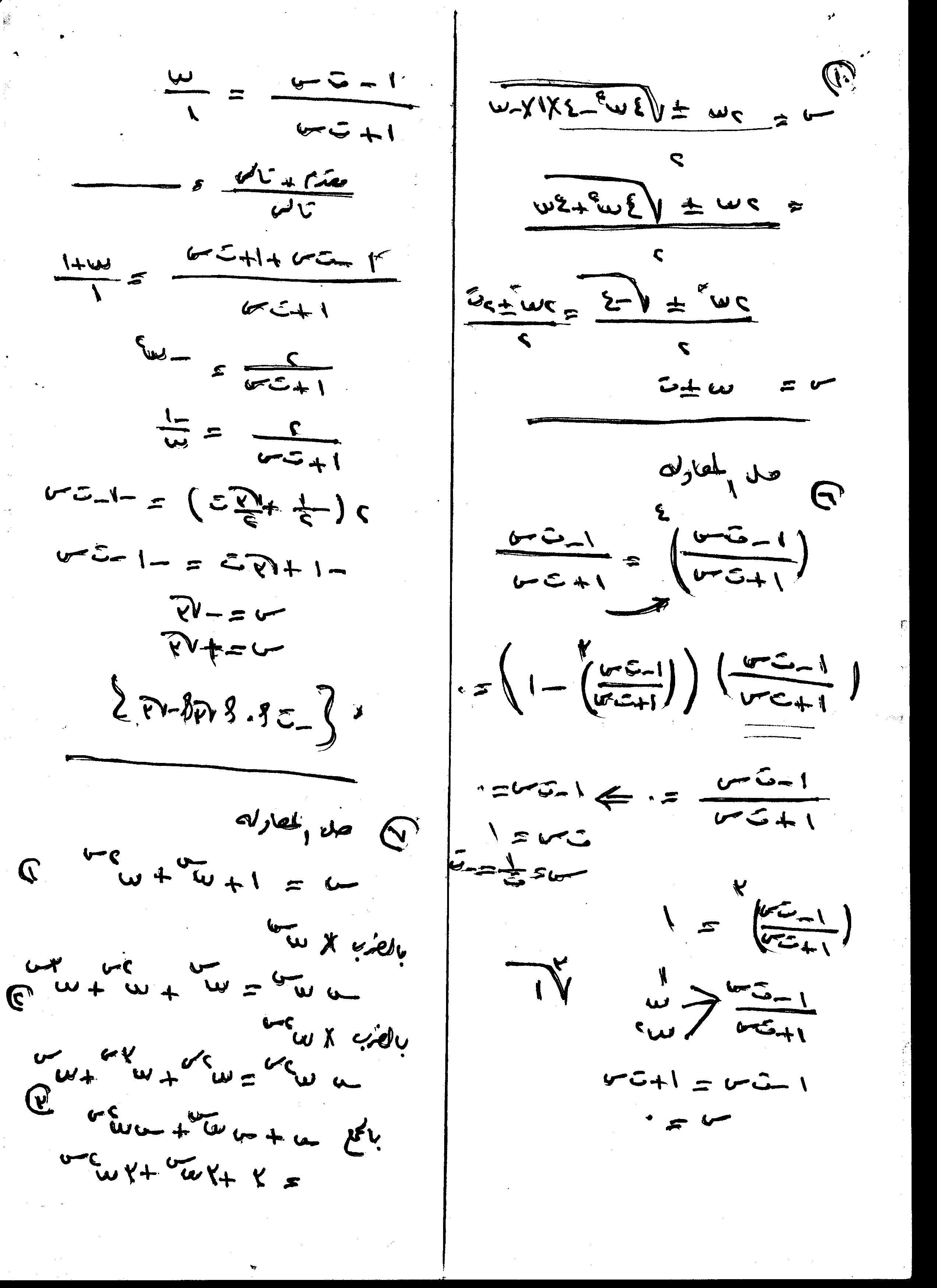
افتراضي المراجعة النهائية للجبر نس المشاركات

ازرع اليوم لتحصد غدا
الصور المصغرة للصور المرفقة
اضغط على الصورة لعرض أكبر

الاســـم:	1.jpg‏
المشاهدات:	207
الحجـــم:	342.7 كيلوبايت
الرقم:	114097   اضغط على الصورة لعرض أكبر

الاســـم:	2.jpg‏
المشاهدات:	154
الحجـــم:	335.3 كيلوبايت
الرقم:	114098   اضغط على الصورة لعرض أكبر

الاســـم:	3.jpg‏
المشاهدات:	148
الحجـــم:	534.0 كيلوبايت
الرقم:	114099   اضغط على الصورة لعرض أكبر

الاســـم:	4.jpg‏
المشاهدات:	144
الحجـــم:	554.9 كيلوبايت
الرقم:	114100   اضغط على الصورة لعرض أكبر

الاســـم:	5.jpg‏
المشاهدات:	160
الحجـــم:	655.7 كيلوبايت
الرقم:	114101  

__________________
الاستاذ / هشام عبد المطلب
رياضيات بمدرسة
احمد طه حسين الثانوية باسوان

رد مع اقتباس
  #2  
قديم 06-06-2009, 07:36 AM
الصورة الرمزية هشام عبد المطلب
هشام عبد المطلب هشام عبد المطلب غير متواجد حالياً
مدرس الرياضيات للمرحلة الثانوية
 
تاريخ التسجيل: Mar 2008
المشاركات: 282
معدل تقييم المستوى: 18
هشام عبد المطلب is on a distinguished road
افتراضي

تكملة المراجعة
الصور المصغرة للصور المرفقة
اضغط على الصورة لعرض أكبر

الاســـم:	6.jpg‏
المشاهدات:	120
الحجـــم:	607.9 كيلوبايت
الرقم:	114102   اضغط على الصورة لعرض أكبر

الاســـم:	7.jpg‏
المشاهدات:	117
الحجـــم:	539.4 كيلوبايت
الرقم:	114103   اضغط على الصورة لعرض أكبر

الاســـم:	8.jpg‏
المشاهدات:	115
الحجـــم:	540.5 كيلوبايت
الرقم:	114104   اضغط على الصورة لعرض أكبر

الاســـم:	9.jpg‏
المشاهدات:	113
الحجـــم:	592.7 كيلوبايت
الرقم:	114105   اضغط على الصورة لعرض أكبر

الاســـم:	10.jpg‏
المشاهدات:	121
الحجـــم:	526.3 كيلوبايت
الرقم:	114106  

__________________
الاستاذ / هشام عبد المطلب
رياضيات بمدرسة
احمد طه حسين الثانوية باسوان

رد مع اقتباس
  #3  
قديم 06-06-2009, 07:41 AM
الصورة الرمزية هشام عبد المطلب
هشام عبد المطلب هشام عبد المطلب غير متواجد حالياً
مدرس الرياضيات للمرحلة الثانوية
 
تاريخ التسجيل: Mar 2008
المشاركات: 282
معدل تقييم المستوى: 18
هشام عبد المطلب is on a distinguished road
افتراضي

الناجح يرفع ايدة:a v4056bb7jp3:
والله الموفق
الصور المصغرة للصور المرفقة
اضغط على الصورة لعرض أكبر

الاســـم:	11.jpg‏
المشاهدات:	126
الحجـــم:	596.2 كيلوبايت
الرقم:	114107   اضغط على الصورة لعرض أكبر

الاســـم:	12.jpg‏
المشاهدات:	113
الحجـــم:	530.8 كيلوبايت
الرقم:	114108   اضغط على الصورة لعرض أكبر

الاســـم:	13.jpg‏
المشاهدات:	137
الحجـــم:	487.6 كيلوبايت
الرقم:	114109  
__________________
الاستاذ / هشام عبد المطلب
رياضيات بمدرسة
احمد طه حسين الثانوية باسوان

رد مع اقتباس
  #4  
قديم 02-06-2014, 02:29 PM
ahmedseef53 ahmedseef53 غير متواجد حالياً
عضو جديد
 
تاريخ التسجيل: Jul 2012
العمر: 62
المشاركات: 5
معدل تقييم المستوى: 0
ahmedseef53 is on a distinguished road
افتراضي

شكككككككككككككككككككككككككككككرررررررررررراااااااا اااااااااااااا
رد مع اقتباس
  #5  
قديم 02-06-2014, 07:23 PM
احمد حضرى احمد حضرى غير متواجد حالياً
عضو مجتهد
 
تاريخ التسجيل: Aug 2009
المشاركات: 128
معدل تقييم المستوى: 0
احمد حضرى is an unknown quantity at this point
افتراضي

مشككككككككككككككككككككككككككوررررررررررررررررر
رد مع اقتباس
  #6  
قديم 02-06-2014, 09:11 PM
mr-ali mr-ali غير متواجد حالياً
عضو مشارك
 
تاريخ التسجيل: Sep 2010
المشاركات: 109
معدل تقييم المستوى: 16
mr-ali is on a distinguished road
افتراضي

جزاك الله خيرا
رد مع اقتباس
  #7  
قديم 09-06-2014, 11:58 PM
smsmsmsmey smsmsmsmey غير متواجد حالياً
عضو جديد
 
تاريخ التسجيل: Jun 2008
المشاركات: 17
معدل تقييم المستوى: 0
smsmsmsmey is on a distinguished road
افتراضي

Goooooooooooooooooooooooooood
رد مع اقتباس
  #8  
قديم 14-06-2014, 11:09 PM
sania77 sania77 غير متواجد حالياً
عضو جديد
 
تاريخ التسجيل: Jul 2012
المشاركات: 42
معدل تقييم المستوى: 0
sania77 is on a distinguished road
افتراضي

شكرررررررررررررررررررررررررا على المجهود الرائع وجزاك الله خيرا
رد مع اقتباس
  #9  
قديم 14-06-2014, 11:11 PM
sania77 sania77 غير متواجد حالياً
عضو جديد
 
تاريخ التسجيل: Jul 2012
المشاركات: 42
معدل تقييم المستوى: 0
sania77 is on a distinguished road
افتراضي

شكرا لك عزيزى على المجهود الرائع وجزاك الله كل خير
مجهود مشكوووووووووووووووووووووووووووووور
رد مع اقتباس
  #10  
قديم 15-06-2014, 08:22 PM
sezr200 sezr200 غير متواجد حالياً
عضو مجتهد
 
تاريخ التسجيل: Jun 2014
المشاركات: 105
معدل تقييم المستوى: 12
sezr200 is on a distinguished road
افتراضي

أولاً جزاك الله كل خير يا أستاذ بس رجاء صغير بعد أذنك
لو ينفع تلم الصور كلهم ف ملف واحد وترفعهم هيكون اسهل بدل منقعد ننزل صوره صوره
ولك جزيل الشكر ويارب يجعله ف ميزان حسناتك
رد مع اقتباس
إضافة رد

العلامات المرجعية


ضوابط المشاركة
لا تستطيع إضافة مواضيع جديدة
لا تستطيع الرد على المواضيع
لا يمكنك اضافة مرفقات
لا يمكنك تعديل مشاركاتك

BB code متاحة
كود [IMG] متاحة
كود HTML معطلة

الانتقال السريع


جميع الأوقات بتوقيت GMT +2. الساعة الآن 11:05 PM.