اهلا وسهلا بك فى بوابة الثانوية العامة ...
سجل الان
المنتدى
التسجيل
التحكم
الخروج
بوابة الثانوية العامة المصرية
>
الصف الثالث الثانوي 2024 / 2025
>
شعبـة العلـوم و الرياضيـات
>
الرياضيات 3 ث
>
منهج الرياضيات البحتة 3 ث
>
المراجعات والامتحانات والاسئلة الرياضيات البحتة 3 ث
امتحان الجبر والفراغية + نموذج الاجابة 2010
التسجيل
التعليمات
التقويم
الذهاب إلى الصفحة...
أدوات الموضوع
انواع عرض الموضوع
Prev
Next
#
1
04-07-2010, 10:38 AM
محمد صبره
معلم
تاريخ التسجيل: Jan 2009
المشاركات: 1,657
معدل تقييم المستوى:
18
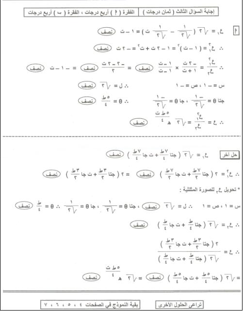
امتحان الجبر والفراغية + نموذج الاجابة 2010
امتحان الجبر والفراغية + نموذج الاجابة 2010
داعيا الله عز وجل أن يكلل أعمالكم بالنجاح والتفوق
الصور المرفقة
algge_10[1].jpg
(51.6 كيلوبايت, المشاهدات 318)
alggeo10[1].jpg
(50.6 كيلوبايت, المشاهدات 275)
1.JPG
(28.6 كيلوبايت, المشاهدات 275)
2.JPG
(26.6 كيلوبايت, المشاهدات 253)
3.JPG
(35.2 كيلوبايت, المشاهدات 238)
محمد صبره
مشاهدة ملفه الشخصي
البحث عن المشاركات التي كتبها محمد صبره
العلامات المرجعية
شير الموضوع على الفيس بوك
تغريد إلى تويتر
«
الموضوع السابق
|
الموضوع التالي
»
أدوات الموضوع
مشاهدة صفحة طباعة الموضوع
انواع عرض الموضوع
الانتقال إلى العرض العادي
الانتقال إلى العرض المتطور
العرض الشجري
ضوابط المشاركة
لا تستطيع
إضافة مواضيع جديدة
لا تستطيع
الرد على المواضيع
لا يمكنك
اضافة مرفقات
لا يمكنك
تعديل مشاركاتك
BB code
متاحة
الابتسامات
متاحة
كود
[IMG]
متاحة
كود HTML
معطلة
قوانين المنتدى
الانتقال السريع
لوحة تحكم العضو
الرسائل الخاصة
الاشتراكات
المتواجدون حالياً
البحث في المنتدى
الواجهة الرئيسية
ركن التنسيق و الجامعات
قسم التنسيق للمدارس و الجامعات
قسم جداول الامتحانات
نتائج الامتحانات للمدارس والمعاهد والجامعات
مسك الكلام فى الاسلام
حي على الفلاح
علوم القرآن الكريم (مكتوب و مسموع و مرئي)
محمد ﷺ نبينا .. للخير ينادينا
التاريخ والحضارة الإسلامية
قصر الثقافة
قضايا سياسية وأخبار مصرية وعربية وعالمية
المواضيع و المعلومات العامة
الأدب العربي
إبداعات ونقاشات هادفة
التنمية البشرية
ركن الغـذاء والـدواء
القرية الذكية
شروحات الحاسب الآلي والهاتف المحمول والدورات التدريبية والشهادات العالمية
معرض الصور و التصاميم و الفنون المتنوعة
تعلم الانجليزية
الركن الإجتماعي
استراحـة المنتـدى
ركن العائلة
اجتماعيات طالب
الجامعات والمعاهد المصرية
جامعـة الأزهـر الشريـف
كليات المجموعة العلمية
كليات المجموعة الرياضية
الكليات التربوية و الأدبية
الجامعات الخاصة والمعاهد
منتــدى مُـعـلـمـــي مـصــــــر
أخبار التعليم المصـري
منتدى معلمي التربية والتعليم
منتدى معلمي الأزهر الشريف
الجودة والإعتماد التربـوى
قسم الاحصاء و الحكومة الالكترونية
المكتبة الإدارية الشاملـة
المنتدى التخصصي للمعلمين
المنتدى الأكاديمي للمعلمين
منتدى الفني والإداري والأخصائي
منتدى الوسائل والأنشطة والإمتحانات
منتدى الوسائل التعليمية والأنشطة والأبحاث المدرسية
منتدى أعمال الامتحانات
منتدى طرق وبرامج إعداد جدول الحصص
الأزهـــر الشريـــــــف ( الإبتدائية - الإعدادية - الثانوية )
المرحلــة الإبتدائيـة الأزهريـة
الصف الأول
ترم اول 1 أ أزهر
القرآن الكريم 1 أ أزهر
اللغة العربية 1 أ أزهر
اللغة الانجليزية 1 أ أزهر
الرياضيات 1 أ أزهر
الترم الثان 1 أ أزهر
القرآن الكريم 1 أ أزهر
اللغة العربية 1 أ أزهر
اللغة الانجليزية 1 أ أزهر
الرياضيات 1 أ أزهر
الصف الثانى
ترم اول 2 أ أزهر
القرآن الكريم 2 أ أزهر
اللغة العربية 2 أ أزهر
اللغة الانجليزية 2 أ أزهر
الرياضيات 2 أ أزهر
الترم الثان 2 أ أزهر
القرآن الكريم 2 أ أزهر
اللغة العربية 2 أ أزهر
اللغة الانجليزية 2 أ أزهر
الرياضيات 2 أ أزهر
الصف الثالث
الترم الأول 3 أ أزهر
القرآن الكريم 3 أ أزهر
اللغة العربية 3 أ أزهر
اللغة الانجليزية 3 أ أزهر
الرياضيات 3 أ أزهر
الترم الثان 3 أ أزهر
القرآن الكريم 3 أ أزهر
اللغة العربية 3 أ أزهر
اللغة الانجليزية 3 أ أزهر
الرياضيات 3 أ أزهر
الصف الرابع
الترم الأول 4 أ أزهر
القرآن الكريم 4 أ أزهر
اللغة العربية 4 أ أزهر
اللغة الانجليزية 4 أ أزهر
الرياضيات 4 أ أزهر
العلوم 4 أ أزهر
الدراسات 4 أ أزهر
الترم الثان 4 أ أزهر
القرآن الكريم 4 أ أزهر
اللغة العربية 4 أ أزهر
اللغة الانجليزية 4 أ أزهر
الرياضيات 4 أ أزهر
العلوم 4 أ أزهر
الدراسات 4 أ أزهر
الصف الخامس
الترم الأول 5 أ أزهر
القرآن الكريم 5 أ أزهر
اللغة العربية 5 أ أزهر
اللغة الانجليزية 5 أ أزهر
الرياضيات 5 أ أزهر
العلوم 5 أ أزهر
الدراسات 5 أ أزهر
الترم الثان 5 أ أزهر
القرآن الكريم 5 أ أزهر
اللغة العربية 5 أ أزهر
اللغة الانجليزية 5 أ أزهر
الرياضيات 5 أ أزهر
العلوم 5 أ أزهر
الدراسات 5 أ أزهر
الصف السادس
الفصل الدراسي الأول 6 أ أزهر
القرآن الكريم 6 أ أزهر
اللغة العربية 6 أ أزهر
اللغة الانجليزية 6 أ أزهر
الرياضيات 6 أ أزهر
العلوم 6 أ أزهر
الدراسات 6 أ أزهر
الفصل الدراسي الثاني 6 أ أزهر
القرآن الكريم 6 أ أزهر
اللغــة العربيـة 6 أ أزهر
اللغة الانجليزية 6 أ أزهر
الرياضيات 6 أ أزهر
العلوم 6 أ أزهر
الدراسات 6 أ أزهر
أرشيف التعليم الأزهرى
المرحلــة الإعداديــة الأزهريــة
الصف الأول
المواد العربية 1 ع أزهر
المطالعة والنصوص والإنشاء 1 ع أزهر
النحو 1 ع أزهر
المواد الشرعية 1 ع أزهر
القرآن الكريم والتفسير 1 ع أزهر
الفقه والحديث 1 ع أزهر
التوحيد والسيرة 1 ع أزهر
الصف الثانى
المواد العربية 2 ع أزهر
المطالعة والنصوص والإنشاء 2 ع أزهر
النحو والصرف 2 ع أزهر
المواد الشرعية 2 ع أزهر
القرآن الكريم والتفسير 2 ع أزهر
الفقه والحديث 2 ع أزهر
التوحيد والسيرة 2 ع أزهر
الصف الثالث
المواد العربية 3 ع أزهر
المطالعة والنصوص والإنشاء 3 ع أزهر
النحو والصرف 3 ع أزهر
المواد الشرعية 3 ع أزهر
القرآن الكريم والتفسير 3 ع أزهر
الفقه والحديث 3 ع أزهر
التوحيد والسيرة 3 ع أزهر
المرحلــة الثانويــة الأزهريــة
الصف الأول الثانوى الأزهرى
المواد الشرعية 1 ث أزهر
القرآن الكريم والتفسير 1 ث أزهر
الفقه والحديث 1 ث أزهر
التوحيد والمنطق 1 ث أزهر
مواد اللغة العربية 1 ث أزهر
النحو والصرف 1 ث أزهر
الأدب والمطالعة والنصوص 1 ث أزهر
البلاغة والإنشاء 1 ث أزهر
اللغة الإنجليزية 1 ث أزهر
الصف الثانى الثانوى الأزهرى
المواد الشرعية 2 ث أزهر
القرآن الكريم والتفسير 2 ث أزهر
الفقه والحديث 2 ث أزهر
التوحيد والمنطق 2 ث أزهر
مواد اللغة العربية 2 ث أزهر
النحو والصرف 2 ث أزهر
الأدب والمطالعة والنصوص 2 ث أزهر
البلاغة والإنشاء 2 ث أزهر
اللغة الإنجليزية 2 ث أزهر
الصف الثالث الثانوى الأزهرى
المواد الشرعية 3 ث أزهر
القرآن الكريم والتفسير 3 ث أزهر
الفقه والحديث 3 ث أزهر
التوحيد والمنطق 3 ث أزهر
مواد اللغة العربية 3 ث أزهر
النحو والصرف 3 ث أزهر
الأدب والنصوص 3 ث أزهر
البلاغة والإنشاء 3 ث أزهر
اللغة الإنجليزية 3 ث أزهر
امتحانات الأزهر الشريف
امتحانات المرحلة الإبتدائية
امتحانات المرحلة الإعدادية
امتحانات المرحلة الثانوية
المرحلة الإبتدائية
(Kindergarten /K.g) رياض الأطفال
الفصل الدراسى الأول
الصف الأول
المنهج المجمع الجديد 1 أ ترم أول
منهج اللغة الانجليزية 1 أ ترم1
الصف الثانى
اللغة العربية 2 أ ترم1
التربية الدينية 2 أ ترم1
اللغة الانجليزية 2 أ ترم 1
الرياضيات 2 أ ترم 1
الصف الثالث
اللغة العربية 3 أ ترم 1
مراجعات و امتحانات
التربية الدينية 3 أ ترم 1
اللغة الانجليزية 3 أ ترم 1
مراجعات و امتحانات
الرياضيات 3 أ ترم 1
مراجعات و امتحانات
الصف الرابع
اللغة العربية 4 أ ترم 1
مراجعات و امتحانات
التربية الدينية 4 أ ترم 1
اللغة الانجليزية 4 أ ترم 1
مراجعات و امتحانات
الرياضيات 4 أ ترم 1
مراجعات و امتحانات
العلوم 4 أ ترم 1
مراجعات و امتحانات
الدراسات الاجتماعية 4 أ ترم 1
مراجعات و امتحانات
الصف الخامس
اللغة العربية 5 أ ترم 1
مراجعات و امتحانات
التربية الدينية 5 أ ترم 1
مراجعات و امتحانات
لغة انجليزية 5 أ ترم 1
مراجعات و امتحانات 5 أ ترم 1
الرياضيات 5 أ ترم 1
مراجعات و امتحانات
العلوم 5 أ ترم 1
مراجعات و امتحانات
الدراسات الاجتماعية 5 أ ترم 1
مراجعات و امتحانات
الصف السادس
اللغة العربية 6 أترم1
المراجعات و الامتحانات عربى 6 أ ترم 1
التربية الدينية 6
مراجعات و امتحانات تربية دينية 6 أ ترم 1
اللغة انجليزية 6 أ ترم 1
مراجعات و امتحانات انجليزى 6 أ ترم 1
الرياضيات 6 أ ترم 1
مراجعات و امتحانات الرياضيات 6 أ ترم 1
الدراسات الاجتماعية 6 أ ترم 1
مراجعات و متحانات دراسات 6 أ ترم 1
العلوم 6 أ ترم 1
مراجعات و امتحانات علوم 6 أ ترم 1
منهج الحاسب الالى للمرحلة الابتدائية ترم 1
الفصل الدراسى الثانى
الصف الأول
المنهج المجمع الجديد 1 أ ترم ثانى
اللغة الانجليزية 1 أ ترم ثانى
الصف الثانى
اللغة العربية 2 أ ترم 2
مراجعات و امتحانات
التربية الدينية 2 أ ترم 2
مراجعات و امتحانات
اللغة الانجليزية 2 أ ترم 2
مراجعات و امتحانات
الرياضيات 2 أ ترم 2
مراجعات و امتحانات
الصف الثالث
التربية الدينية 3 أ ترم 2
مراجعات و امتحانات
اللغة العربية 3 أ ترم 2
مراجعات و امتحانات
اللغة الانجليزية 3 أ ترم 2
مراجعات و امتحانات
الرياضيات 3 أ ترم 2
مراجعات و امتحانات
الصف الرابع
اللغة العربية 4 أ ترم 2
مراجعات و امتحانات
التربية الدينية 4 أ ترم 2
مراجعات و امتحانات
الرياضيات 4 أ ترم 2
مراجعات و امتحانات
الانجليزى 4 أ ترم 2
مراجعات و امتحانات
العلوم 4 أ ترم 2
مراجعات و امتحانات
الدراسات 4 أ ترم 2
مراجعات و امتحانات
الصف الخامس
اللغة العربية الصف الخامس الابتدائى ترم 2
مراجعات و امتحانات
التربية الدينية الصف الخامس الابتدائى ترم 2
مراجعات و امتحانات
الرياضيات الصف الخامس الابتدائى ترم 2
قسم الامتحانات رياضيات 5 أ ترم 2
لغة انجليزية الصف الخامس الابتدائى 5 أ ترم2
قسم الامتحانات انجليزى 5 أ ترم 2
العلوم الصف الخامس الابتدائى ترم 2
قسم الامتحانات علوم 5 أ ترم 2
الدراسات للصف الخامس الابتدائى ترم 2
قسم الامتحانات دراسات اجتماعية 5 أ ترم 2
الصف السادس
اللغة العربية الصف السادس الابتدائى ترم 2
قسم الامتحانات لغة عربية 6 أ ترم2
التربية الدينية 6 أترم 2
قسم الامتحانات تربية دينية 6 أ ترم 2
الرياضيات 6 أ ترم 2
قسم الامتحانات رياضيات 6 أ ترم2
الانجليزى 6 أ ترم 2
قسم الامتحانات انجليزى 6 أ ترم2
العلوم 6 أ ترم2
قسم الامتحانات علوم 6 أ ترم2
الدراسات 6 أ ترم2
قسم الامتحانات دراسات اجتماعية 6 أ ترم2
المرحلة الاعدادية
الفصل الدراسى الأول
الصف الأول الاعدادى
لغة عربية 1ع ترم 1
منهج لغة عربية 1ع ترم 1
مراجعات و امتحانات لغة عربية 1ع ترم 1
منهج التربية الدينية 1 ع ترم 1
اللغة الانجليزية 1 ع ترم 1
منهج للغة الانجليزية 1 ع ترم 1
مراجعات و امتحانات للغة الانجليزية 1 ع ترم 1
الرياضيات 1 ع ترم 1
منهج رياضيات 1 ع ترم 1
مراجعات و امتحانات رياضيات 1 ع ترم 1
علوم الصف الاول الاعدادى ترم 1
منهج لعلوم 1 ع ترم 1
مراجعات و امتحانات لعلوم 1 ع ترم 1
الدراسات الاجتماعية الصف الاول الاعدادى ترم 1
منهج الدراسات 1 ع ترم 1
مراجعات و امتحانات الدراسات 1 ع ترم 1
حاسب آلى 1ع ترم 1
منهج حاسب آلى 1ع ترم 1
مراجعات و امتحانات حاسب آلى 1ع ترم 1
تربية فنية 1ع ترم 1
منهج الفرنساوى 1ع ترم 1
الصف الثانى الاعدادى
اللغة العربية 2 اعدادى ترم 1
منهج اللغة العربية 2ع ترم 1
مراجعات و امتحانات لغة عربية 2ع ترم 1
التربية الدينية 2ع ترم1
منهج التربية الدينية 2ع ترم 1
المراجعات والامتحانات دين 2 ع ترم 1
اللغة الانجليزية 2ع ترم 1
منهج اللغة الانجليزية 2ع ترم 1
2 ع Novel ترم 1
مراجعات و امتحانات لغة انجليزية 2ع ترم 1
الرياضيات 2 ع ترم 1
الجبر و الإحصاء 2 ع ترم 1
هندسة 2ع ترم 1
المراجعات والامتحانات رياضيات 2 ع ترم 1
الدراسات الصف الثانى 2 ترم 1
منهج الدراسات ترم 1
المراجعات والامتحانات دراسات 2 ع ترم 1
منهج الدراسات الاجتماعية 2 ع ترم 1 (سنوات سابقة)
علوم الصف الثانى الاعدادى ترم 1
منهج العلوم 2ع ترم 1
المراجعات والامتحانات علوم 2 ع ترم 1
الحاسب الآلى للصف الثانى الاعدادى
منهج الحاسب الآلى 2ع ترم 1
مراجعات و امتحانات حاسب آلى 2ع ترم 1
تربية فنية للصف الثانى الاعدادى
التربية الفنية 2 ع ترم 1
المراجعات والامتحانات 2 ع ترم 1
اللغة الفرنسية 2 ع ترم 1
المراجعات والامتحانات 2 ع
الصف الثالث الاعدادى
اللغة العربية الصف الثالث ع ترم 1
منهج اللغة العربية 3ع ترم 1
مراجعات و امتحانات اللغة العربية 3ع ترم 1
التربية الدينية 3ع ترم 1
التربية الدينية 3ع ترم1
مراجعات و امتحانات 3ع ترم1
اللغة الانجليزية 3 ع ترم 1
منهج لغة انجليزية 3ع ترم 1
القصة لغة انجليزية 3ع ترم1
مراجعات و امتحانات لغة انجليزية ترم 1
الرياضيات 3 ع ترم 1
جبر و احصاء 3ع ترم1
هندسة 3ع ترم1
مراجعات رياضيات 3 ع ترم 1
الدراسات الاجتماعية الصف الثالث ع ترم 1
الدراسات الاجتماعية 3ع ترم1
مراجعات و امتحانات دراسات 3ع ترم1
العلوم الصف الثالث الاعدادى ترم 1
منهج العلوم 3ع ترم1
مراجعات و امتحانات علوم 3ع ترم1
اللغة الفرنسية 3 ع ترم 1
المراجعات والامتحانات 3 ع
التربية الفنية 3 ع ترم 1
المراجعات والامتحانات 3 ع
كمبيوتر و تكنولوجيا المعلومات للصف الثالث الاعدادى
منهج الحاسب الآلى 3ع ترم 1
مراجعات و امتحانات حاسب آلى 3ع ترم 1
الفصل الدراسى الثانى
الصف الأول الاعدادى
اللغة العربية 1 ع ترم2
التربية الدينية الإسلامية 1 ع ترم 2
اللغة الانجليزية 1ع ترم 2
منهج الانجليزى 1 ع ترم 2
Novel
Revisions & Exams
الرياضيات 1 ع ترم 2
الجبر و الإحصاء 1 ع ترم2
الهندسة 1 ع ترم 2
الموضوعات المشتركة والمراجعات والإمتحانات 1 ع
العلوم 1 ع ترم 2
الدراسات 1 ع ترم 2
اللغة الفرنسية 1 ع ترم 2
التربية الفنية 1 ع ترم 2
الكمبيوتر وتكنولوجيا المعلومات 1 ع
الصف الثانى الاعدادى
اللغة العربية 2 ع ترم 2
المراجعات والامتحانات
التربية الدينية الإسلامية 2 ع ترم 2
اللغة الانجليزية 2ع ترم 2
منهج اللغة الانجليزية 2 ع ترم 2
Story ترم 2 2 ع
Revision & Exams ترم 2 2 ع
الرياضيات 2 ع ترم 2
الجبر و الإحصاء 2 ع ترم 2
الهندسة 2 ع ترم 2
الموضوعات المشتركة والمراجعات والإمتحانات 2 ع
الدراسات الاجتماعية 2 ع ترم 2
العلوم 2 ع ترم 2
اللغة الفرنسية 2 ع ترم 2
التربية الفنية 2 ع ترم 2
الكمبيوتر وتكنولوجيا المعلومات 2 ع ترم 2 2017
الصف الثالث الاعدادى
اللغة العربية 3 ع
منهج اللغة العربية 3 ع ترم 2
المراجعات والامتحانات لغة عربية ترم 2
التربية الدينية الإسلامية 3 ع ترم 2
اللغة الانجليزية 3 ع
منهج اللغة الانجليزية الجديد 3ع ترم 2
3 ع reader ترم 2
عRevision & Eam 3 ترم 2
الرياضيات 3 ع
الجبر و الإحصاء 3 ع ترم 2
الهندسة 3 ع ترم 2
الموضوعات المشتركة والمراجعات والإمتحانات 3 ع ترم 2
الدراسات الاجتماعية 3 ع ترم 2
العلوم 3 ع ترم 2
التربية الفنية 3 ع ترم 2
الكمبيوتر وتكنولوجيا المعلومات 3 ع ترم 2
حاسب آلى 3ع ترم2
اللغة الفرنسية 3 ع ترم 2
الصف الأول الثانوي 2024 / 2025
الفصل الدراسي الأول 1 ث
اللغات 1ث ترم1
اللغة العربية ترم 1
منهج اللغة العربية 1ث ترم 1
مراجعات و امتحانات لغة عربية 1 ث ترم1
اللغة الانجليزية 1 ث ترم 1
منهج لغة انجليزية 1 ث units ترم 1
1ث ترم 1 Novel
1ث ترم 1 Revision & Exams
المواد الأدبية (1ث / ترم 1)
تاريخ 1ث ترم 1
منهج التاريخ 1ث
تاريخ للترمين ( نظام قديم )
الفلسفة والمنطق 1ث ترم 1
منهج الفلسفة و المنطق 1ث
مراجعات و امتحانات
مواد فلسفية للترمين (نظام قديم )
العلوم المتكاملة والرياضيات (1ث / ترم 1)
العلوم المتكاملة (1ث / ترم 1)
الرياضيات 1 ث ترم 1
جبر و حساب مثلثات 1ث ترم 1
هندسة مستوية 1 ث ترم 1
مراجعات و امتحانات رياضيات 1ث ترم 1
الفصل الدراسي الثاني 1 ث
اللغات 1ث ترم 2
اللغة العربية 1ث ترم 2
الادب والنصوص و البلاغة
القصة والقراءة و النحو 1 ث
المراجعات و الامتحانات 1 ث
اللغة الإنجليزية 1 ث ترم 2
1 ث units ترم 2 2017
1 ث Novel
1 ث revision
المواد الأدبية 1ث ترم 2
تاريخ 1ث ترم2
منهج التاريخ 1ث ترم2
مراجعات و امتحانات
فلسفة ومنطق 1ث ترم2
فلسفة ومنطق 1ث ترم2
مراجعات و امتحانات
العلوم المتكاملة والرياضيات (1ث / ترم 2)
العلوم المتكاملة (1ث / ترم 2)
الرياضيات (1 ث / ترم 2)
هندسة تحليلية 1 ث ترم 2
جبر وحساب مثلثات 1 ث ترم 2
المراجعات والإمتحانات والأسئلة 1 ث ترم 2
المواد الدراسية التي لا تضاف إلى المجموع؛ ومواد السنوات السابقة
تربية دينية (1ث / ترم 1 & 2)
اللغة الفرنسية 1 ث
المواد العلمية 1ث ترم1
الفيزياء الصف الاول الثانوى
كيمياء الصف الأول الثانوى
منهج الكيمياء 1ث ترم 1
مراجعات و امتحانات الكيمياء 1ث ترم1
منهج الكيمياء 1ث مجمعة للترمين ( نظام قديم
مراجعات و امتحانات كيمياء 1ث ( نظام قديم )
الأحياء 1 ث
منهج الأحياء 1ث ترم1
مراجعات و امتحاات الأحياء 1ث ترم1
منهج الأحياء 1ث مجمعة للترمين ( نظام قديم )
مراجعات و امتحانات الأحياء 1ث ( نظام قديم )
المواد العلمية 1 ث
فيزياء 1ث ترم2
منهج الفيزياء
مراجعات و امتحانات
كيمياء 1ث ترم2
منهج الكيمياء 1ث ترم2
مراجعات و امتحانات
احياء 1ث ترم 2
منهج الأحياء 1ث ترم2
مراجعات و امتحانات
اللغة الألمانية و الايطالية1 ث
جغرافيا الصف الاو ل الثانوى
اللغة الألمانية و الايطالية 1 ث ترم1
الكمبيوتر وتكنولوجيا المعلومات
الصف الثاني الثانوي 2024 / 2025
مجموعة المواد الأساسية
الفصل الدراسى الأول 2 ث
اللغة العربية 2 ث ترم 1
لغة عربية 2ث ترم1
المراجعات والإمتحانات لغة عربية 2 ث ترم 1
اللغة الانجليزية 2 ث ترم1
لغة انجليزية 2ث ترم 1
Novel لغة انجليزية 2ث ترم 1
مراجعات و امتحانات 2ث ترم 1 E
الرياضيات 2ث / ترم 1
رياضيات 2ث ترم1
المراجعات والإمتحانات 2 ث ترم 1
الفصل الدراسى الثانى 2 ث
اللغة العربية 2 ث ترم 2
القصة والقراءة و النحو 2 ث
الادب والنصوص و البلاغة 2 ث ترم 2
المراجعات والإمتحانات 2 ث
اللغة الانجليزية 2 ث ترم 2
2 ث units
2 ث novel ترم 2
ٌRevision & Exams ترم ثانى 2ث
الرياضيات 2 ث / ترم 2
الجبر و التفاضل وحساب المثلثات 2 ث
المراجعات والإمتحانات 2 ث
مجموعة المواد العلمية
الأحياء 2 ث
شرح الأحياء 2ث
مراجعات الاحياء 2ث
كيمياء الصف الثانى الثانوى
شرح الكيمياء 2 ث
مراجعات الكيمياء 2ث
فيزياء الصف الثانى الثانوى
شرح الفيزياء 2 ث
مراجعات الفيزياء 2ث
مجموعة المواد الادبية
التاريخ الصف الثانى الثانوى
منهج التاريخ 2 ث
مراجعات و امتحانات التاريخ 2ث
جغرافيا الصف الثانى الثانوى
شرح الجغرافيا 2 ث
مراجعات و امتحانات الجغرافيا 2ث
علم النفس والاجتماع 2 ثانوى
علم النفس والاجتماع 2 ث
مراجعات و امتحانات علم النفس 2ث
المواد الدراسية التي لا تضاف إلى المجموع؛ ومواد السنوات السابقة
التربية الدينية الاسلامية 2ث ترم1
التربية الدينية الاسلامية 2ث / ترم 2
اللغة الفرنسية 2 ث ترم1
لغة فرنسية 2ث ترم 1
مراجعات 2 ث لغة فرنسية ترم 1
اللغة الفرنسية 2 ث ترم 2
منهج لغة فرنسية 2 ث ترم2
مراجعات 2 ث
اللغة الألمانية و الايطالية 2ث ترم 1 & 2
الكمبيوتر وتكنولوجيا المعلومات 2ث / ترم 1 & 2
ميكانيكا 2ث / ترم 1 & 2
الفلسفة والمنطق 2ث / ترم 1 & 2
الصف الثالث الثانوي 2024 / 2025
الصف الثالث الثانوى للأعضاء الغير حاصلين على لقب "مُعلم"
مجموعة المواد الأساسية
اللغة العربية 3ث
منهج اللغة العربية الجديد للصف الثالث الثانوى
الاعمال الكاملة للمنهج
النحو 3 ث
النصوص والادب 3 ث
القراءة والقصة 3 ث
البلاغة والتعبير 3 ث
المراجعات والامتحانات 3 ث
اللغة الانجليزية 3 ث
منهج اللغة الانجليزية الجديد 3ث
Novel 3 Sec
Revision & Exams
شعبـة العلـوم و الرياضيـات
الفيزياء 3 ث
المسائل فيزياء 3 ث
شرح المنهج فيزياء 3 ث
المراجعات فيزياء 3 ث
الامتحانات فيزياء 3 ث
الكيمياء 3ث
شرح المنهج كيمياء 3ث
المراجعات كيمياء 3ث
الامتحانات
الأحياء 3ث
فصول المنهج الأحياء 3ث
الاختبارات الشاملة أحياء 3ث
مراجعات الاحياء 3ث
الرياضيات 3 ث
منهج الرياضيات البحتة 3 ث
المراجعات والامتحانات والاسئلة الرياضيات البحتة 3 ث
منهج الرياضيات التطبيقية 3ث
المراجعات والإمتحانات والأسئلة رياضيات تطبيقية 3 ث
الشعبـة الأدبيـة 3ث
التاريـخ 3ث
شرح التاريخ 3 ث
المراجعات والامتحانات 3 ث
الجغرافيـا 3ث
الجغرافيا 3 ث
المراجعات والامتحانات جغرافيا 3 ث
الإحصـاء 3ث
مجموعة المواد الدراسية ( لا تضاف للمجموع )
التربية الدينية الاسلامية 3 ث
الإقتصاد 3 ث
اللغة الفرنسية 3 ث
شرح المنهج اللغة لفرنسية 3 ث
قواعد اللغة الفرنسية 3 ث
المراجعات لغة فرنسية 3ث
امتحانات لغة فرنسية 3 ث
الفلسفة والمنطق الصف الثالث ث
الفلسفة والمنطق والتربية الوطنية
المراجعات والامتحانات فلسفة و منطق 3 ث
الجيولوجيا والعلوم البيئية
المراجعات والامتحانات جيولوجيا 3 ث
اللغة الألمانية و الايطالية 3 ث
علم النفس والاجتماع الصف الثالث ث
علم النفس والإجتماع 3ث
المراجعات والامتحانات علم نفس و اجتماع 3 ث
تربية وطنية
الحاسب الآلى 3 ث
قدرات الفنون و العمارة
امتحانات الثانوية العامة
امتحانات الثانوية العامة
امتحانات السودان
امتحانات الوزارة التجريبية
مدارس اللغات
المرحلة الثانوية
الأول الثانوي لغات
المستوى الرفيع لغة إنجليزية
الشعر Poetry
الروايات Novels
المسرحيات Plays
الكتب المنهجية Set Books
إمتحانات المستوى الرفيع
الفصل الدراسى الاول
Maths
French
Computer
الفصل الدراسى الثانى
Maths
French
Computer
المواد المشتركة
الفيزياء 1 ث لغات
الأحياء لغات
الكيمياء 1 ث لغات
الثانى الثانوى لغات
المستوى الرفيع لغة إنجليزية
الشعر Poetry
الروايات Novels
المسرحيات Plays
الكتب المنهجية Set Books
إمتحانات المستوى الرفيع
الفصل الدراسى الاول
Maths
French
Computer
الفصل الدراسى الثانى
Maths
French
Computer
المواد المشتركة
Physics
Biology
Chemistry
Mechanics
الثالث الثانوي لغات
اللغة الإنجليزية
مواد الصف الثالث الثانوى لغات
Maths 2
Physics
Biology
Chemistry
Geology
statistics
المرحلة الإعدادية لغات
الأول الإعدادي لغات
المستوى الرفيع لغة إنجليزية
الشعر Poetry
المسرحيات Plays
الروايات Novels
الكتب المنهجية Set Books
امتحانات المستوى الرفيع
الفصل الدراسى الاول
Maths
Science
French
computer
الفصل الدراسى الثانى
Maths
Science
French
computer
الثاني الإعدادي لغات
المستوى الرفيع لغة إنجليزية
الشعر ...Poetry
الروايات ... Novels
المسرحيات ...Plays
الكتب المنهجية ... Set Book
امتحانات المستوى الرفيع
الفصل الدراسى الاول
Maths
Science
French
computer
الفصل الدراسى الثانى
Maths
Science
French
computer
الثالث الإعدادي لغات
المستوى الرفيع لغة إنجليزية
الشعر Poetry
الروايات Novels
المسرحيات Plays
الكتب المنهجية Set Books
إمتحانات المستوى الرفيع
الفصل الدراسى الاول
Maths
Science
French
computer
الفصل الدراسى الثانى
Maths
Science
French
computer
المرحلة الابتدائية لغات
الصف الاول الابتدائى ( لغات )
Maths
ترم أول
ترم ثان
(English (Advanced Level
Stories
Set Books
امتحانات مدارس اللغات المختلفة
الصف الثانى الابتدائى ( لغات )
Maths
ترم أول
ترم ثانى
(English (Advanced Level
Stories
Set Books
امتحانات مدارس اللغات المختلفة
الصف الثالث الابتدائى ( لغات )
Maths
ترم أول
ترم ثانى
(English ( Advanced Level
Stories
Set Books
امتحانات مدارس اللغات المختلفة
الصف الرابع الابتدائى ( لغات )
Maths
ترم أول
ترم ثانى
Science
الترم الأول
الترم الثانى
(English ( Advanced Level
Stories
Set Books
امتحانات مدارس اللغات المختلفة
الصف الخامس الابتدائى ( لغات )
Maths
ترم أول
ترم ثانى
Science
ترم أول
ترم ثانى
(English (Advanced Level
Stories
Set Books
امتحانات مدارس اللغات المختلفة
الصف السادس الابتدائى ( لغات )
Maths
ترم أول
ترم ثانى
Science
ترم أول
ترم ثانى
(English ( Advanced Level
Stories
Set Books
امتحانات مدارس اللغات المختلفة
كل الصفوف الابتدائية لغات( فرنسى )
Maths and Science
(French ( Advanced level
الكمبيوتر
الأستفسارات والطلبات والأراء
التعليم الثانوى الفنى
الثانوى الصناعى
صناعى نظام 3 سنوات
الصف الأول
الصف الثانى
الصف الثالث
صناعى 5 سنوات
الصف الأول
الصف الثانى
الصف الثالث
الصف الرابع
الصف الخامس
تعلم حرفة
الثانوى الزراعى
الصف الأول
الصف الثانى
الصف الثالث
الثانوى التجارى
تجارى نظام 3 سنوات
الصف الأول
الصف الثانى
الصف الثالث
تجارى نظام 5 سنوات
الصف الأول
الصف الثانى
الصف الثالث
الصف الرابع
الصف الخامس
امتحانات التعليم الفنى
امتحانات التعليم الفنى الصناعى
امتحانات التعليم الفنى التجارى
امتحانات التعليم الفنى الزراعى
القسم الإداري
طلبات واقتراحات الأعضاء
أرشيف المنتدى
جميع الأوقات بتوقيت GMT +2. الساعة الآن
07:10 PM
.
الاتصال بنا
-
بوابة مصر التعليمية
-
الأرشيف
-
بيان الخصوصية
-
شروط الخدمة
-
الأعلى
بوابة مصر التعليمية
نتيجة الثانوية العامة
إحجز موقعك المجانى
النشرة اليومية
مشاكل التسجيل
بوابة نتائج الإمتحانات
Powered by vBulletin® Version 3.8.11
Copyright ©2000 - 2025, Jelsoft Enterprises Ltd.
TOS
-
Privacy Poilcy